El curso pasado, la UEFA cambió el formato de la fase de grupos de sus tres competiciones internacionales. De grupos cerrados en los que cuatro equipos (uno de cada bombo) se enfrentaban todos contra todos a ida y vuelta durante seis jornadas, se pasó a un sistema de clasificación única en el que cada equipo se enfrenta a ocho oponentes (dos por bombo) una sola vez. De esta forma, los ocho primeros clasificados pasan directamente a los octavos de final, mientras que los clasificados entre el puesto noveno y el vigésimo cuarto juegan una eliminatoria adicional. Una de las preguntas abiertas en este nuevo sistema tiene que ver con los puntos necesarios para clasificar entre los 8 y los 24 primeros puestos. Para ello, OPTA y Football Meets Data calcularon estimaciones generando 50,000 y 10,000 simulaciones, respectivamente. Ambos análisis coincidieron en que 10 puntos (e incluso 9) debería ser suficiente en la mayoría de los casos para entrar en el top24, aunque la primera clasificación con este nuevo sistema dejó fuera a Dinamo Zagreb y Stuttgart con 11 y 10 puntos cada uno. En principio, el número de simulaciones parece razonable para estimar las clasificaciones más probables, pero seguramente haya casos más exóticos que no están contemplados en estos análisis por el simple hecho de que son más improbables que 1 entre 50k o 1 entre 100k…y esos casos son siempre los más interesantes para los frikis del fútbol. Para cazar esas rarezas hay que redoblar la apuesta, así que hemos generado 5 millones de simulaciones, desde el sorteo hasta los resultados y la clasificación final. Explicamos aquí el proceso paso a paso. Por cierto, si escribes «rareza» en google te sale el primo de Bellerín.
Nuestro sistema
En primer lugar, establecemos los 36 equipos, asígnándole sus respectivos países y el bombo al que pertenecen. Luego, generamos los calendarios de cada uno, teniendo en cuenta las restricciones establecidas por la UEFA respecto a bombos y países. En este caso hemos medio obviado una de las normas, que tiene que ver con el número de equipos por país contra el que puedes enfrentarte. Sin entrar en detalles, se ralentizan mucho las simulaciones del sorteo al imponer que sólo puedas jugar contra 2 equipos del mismo país. Teniendo en cuenta que queremos maximizar el número de simulaciones y que, como veremos a continuación, el país es irrelevante en la estimación de los resultados que vamos a usar, simplemente hemos minimizado este parámetro en la medida de lo posible. Una alternativa habría sido operar sobre alguno de los calendarios reales (24-25 o 25-26), pero queríamos usar la mayor cantidad de calendarios diferentes posible.
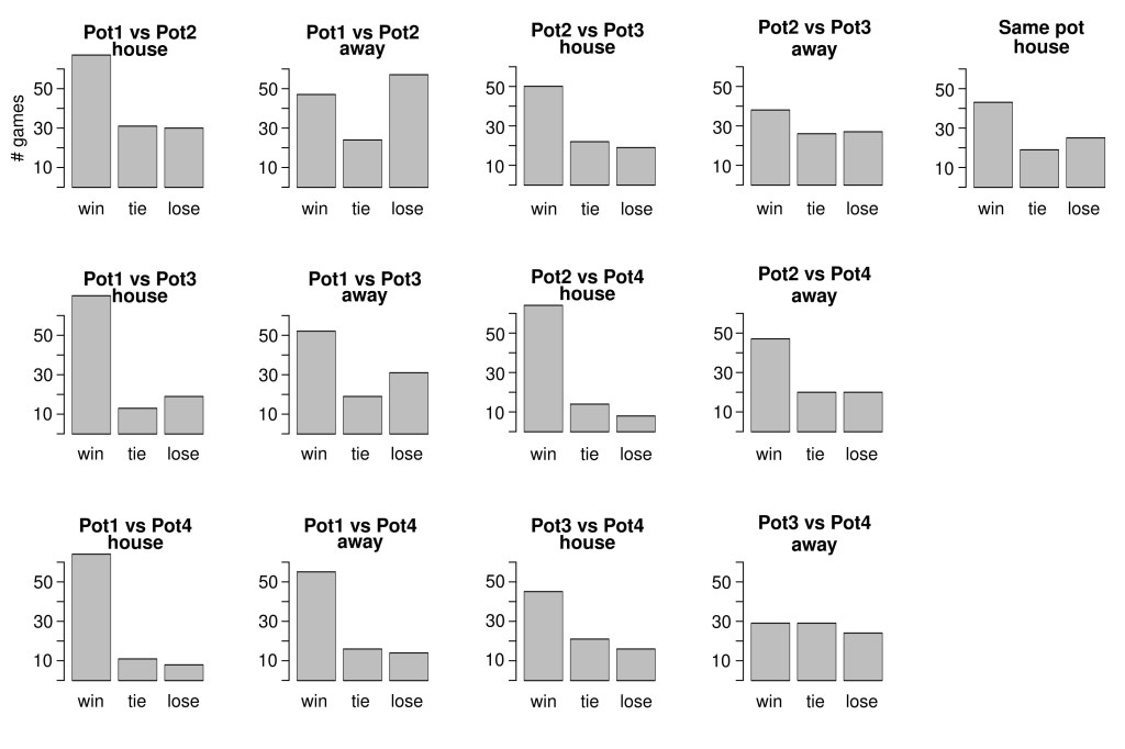
Una vez tenemos los calendarios, hay que estimar los resultados. Creo que OPTA hace algo así como asignar un potencial a cada equipo y predice los resultados en función de estos valores. Nosotros vamos a basarnos en el histórico de la UCL de los últimos 10 años para asignar una probabilidad en función del bombo y la localía. Estas son las frecuencias de victorias, empates y derrotas correspondientes a las temporadas que van de la 2014-2015 a la 2023-2024:

Esta aproximación hace que Madrid y Bayern, por ejemplo, tengan la misma probabilidad de ganar, empatar o perder cada partido, ya que pertenecen al mismo bombo. Si la idea es predecir el desempeño de cada equipo, claramente este enfoque no es el mejor. En nuestro caso, la motivación es estimar cuántos puntos se necesitan para clasificar entre los 8 o 24 primeros, así como generar clasificaciones raras (ver más abajo), sin importarnos demasiado los equipos de manera individual.
Prueba con 100 k simulaciones
Antes de generar las 5 millones de simulaciones, vamos a hacer una prueba para ver cómo funciona el sistema. Generamos 100 mil simulaciones y contrastamos las predicciones con los resultados de la temporada 2024-25, que es la única para la que existen datos hasta el momento. Un análisis interesante (aunque no sea nuestro propósito) es partir del sorteo de dicha temporada y proyectar el número total de puntos que sumará cada equipo al final de la fase liga. Esto lo haremos tanto «a ciegas» (prediciendo todas las jornadas) como después de haber transcurrido cada jornada, lo que nos permite testar hasta qué punto el sistema va convergiendo a la clasificación real a medida que reducimos el número de partidos a predecir. Dado que nuestro sistema sólo tiene en cuenta el bombo al que pertenece cada equipo, las predicciones a ciegas de los equipos del mismo bombo son similares. Esto hace que, si un equipo no se comporta como se esperaría, las primeras predicciones no sean precisas. Para ilustrar esto, analizamos las predicciones de Bayer Leverkusen y Mónaco, que se comportaron de forma distinta respecto a lo esperado. El primero obtuvo 16 puntos y acabó 6º siendo del bombo 1, por lo que se desempeñó como se podía prever. En la siguiente gráfica podemos ver las frecuencias con que el sistema asigna el número final de puntos del Bayer Leverkusen:

Como podemos apreciar, aunque inicalmente el sistema asigna 13 puntos como lo más probable, a medida que avanzan las jornadas la mayoría de las simulaciones asignan los 16 puntos que finalmente obtuvo el Bayer Leverkusen. El Mónaco, por su parte, acabó 17º con 13 puntos. Esto no debería sonar raro, pero teniendo en cuenta que pertenecía al bombo 4, nuestro sistema proyectará entre 4 y 10 puntos en la mayor parte de las simulaciones a ciegas. Sin embargo, podemos apreciar que a partir de la 3º jornada el sistema converge hacia esos 13 puntos finales:

Vale, pues aunque nuestro propósito (lo vuelvo a repetir) no es predecir el desempeño individual de cada equipo, parece que el sistema no anda muy desencaminado a medida que vamos nutriéndole con más información. Entonces, ¿cómo cambia la probabilidad de clasificar tras cada jornada disputada? Podemos apreciarlo en la siguiente gráfica:

Como es lógico, la acumulación de resultados hace que las probabilidades vayan variando respecto a las de las predicciones a ciegas. Llama la atención la drástica caída de los 15 puntos, que pasa del 62% de opciones de estrar en el top 8 al 9.5% tras la jornada 6 (finalmente hicieron falta 16 puntos). Dado que OPTA asignó (a ciegas) un 73% de opciones de clasificar en el top 8 con 15 puntos, parece que el salto entre los 15 y los 16 marca una de las diferencias entre las predicciones y lo que finalmente pasó. En cuanto al top 24, observamos también una caída significativa de la probabilidad de clasificar con 9 puntos, que pasa del 47% al 0%, y con 10 puntos, que pasa del 94% al 41% tras la penúltima jornada. Curiosamente, la probabilidad de clasificar con 11 puntos sólo bajó del 99.9% al 97.3% antes de disputarse la última jornada, lo que nos habla de lo improbable que era lo que acabó ocurriendo con el Dínamo de Zagreb. Por cierto, OPTA asignó un 99% y 100% de probabilidad de clasificar con 10 y 11 puntos, respectivamente (Football Meets Data asignó un 99% y un 99.9%).
¿Cuántos puntos hacen falta para clasificarse?
La prueba de 100k simulaciones nos sirve para comprobar que el sistema opera con sentido, ajustando las probabilidades de forma razonablemente realista a medida que avanza la competición, y no compara mal con otras predicciones conodidas. Escalamos a 5 millones y calculamos cuántos puntos hacen falta para clasificar en el top 8 y el top 24:


Como vemos, la ventana entre los 14 y los 16 puntos marca el umbral para entrar en el top 8 (con interesantísimas excepciones). Aunque nuestras probabilidades son por lo general algo más bajas que las de OPTA, ambas señalan dicha ventana como límite inferior. Curiosamente, damos un 62.7% de probabilidades a clasificar en el top 8 con 15 puntos (OPTA da un 73%), cuando finalmente hicieron falta 16. En cuanto al top 24, el rango entre los 8 y los 10 puntos marca el límite inferior (de nuevo con excepciones interesantes). Nuestras estimaciones son parecidas a las de OPTA y las de Football Meets Data, aunque no tan optimismas respecto a los puntos que bastan para clasificar. Esto parece ajustarse más a lo que acabó pasando el pasado curso, pero poco podemos afirmar con un sólo ejemplo.
El factor diferencial que sí aporta nuestro enfoque es que, al generar tantas simulaciones, encontramos casos realmente exóticos. Esto ya se intuye en las gráficas anteriores, en las que (a diferencia de otras predicciones) observamos que 12 puntos pueden ser suficientes para entrar en el top 8 y 19 puntos pueden no ser bastantes. De igual modo, encontramos que técnicamente es posible clasificarse en el top 24 con 6 puntos, así como quedarte fuera con 12. En el siguiente diagrama de caja representamos las posiciones que potencialmente pueden ocuparse en función de los puntos obtenidos:

Con la gráfica anterior pueden apreciarse visualmente los casos más exóticos de los que hablábamos antes. Un salto interesante se produce de los 11 a los 12 puntos. Con sólo un punto de diferencia, la posición más alta que puede alcanzarse sube 4 puestos (del 9º al 5º). De igual modo, la posición más repetida con 11 puntos es la 19, mientras que con 12 puntos subiríamos hasta la 16. Esto se aprecia mejor en las siguientes gráficas:


En el 73% de las simulaciones, conseguir 11 puntos te lleva a ocupar un puesto entre el 17 y el 20, mientras que el 72% de las veces conseguir 12 puntos te haría acabar entre el 14 y el 18.
Ni un grande fuera
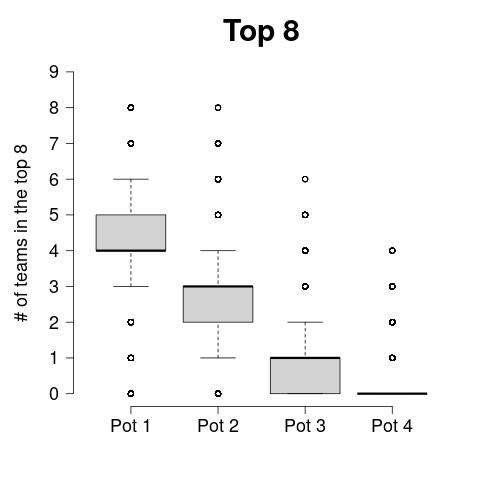
Otro aspecto interesante que podemos extraer de nuestro análisis es la frecuencia con la que los equipos de cada bombo se clasifican entre los 8 o 24 primeros. Tras las primeras propuestas de la superliga, que garantizaban la participación ad eternum de los equipos más ricos de Europa, el nuevo formato de la UCL fue visto por muchos como una concesión de la UEFA a estos equipos. El aumento del número de partidos en la fase liga (de 6 a 8) y la clasificación a las eliminatorias de 2 de cada 3 equipos participantes (por el 50% del formato anterior) aseguraban a los más ricachones disputar un número mínimo de partidos y trincar unos ricos billets. De entre todos los análisis que estoy vomitando en esta entrada, estoy seguro de que éste en concreto (o uno parecido) fue rigurosamente considerado por la UEFA en cada uno de los bocetos de nuevo formato para garantizar un torneo en el que ningún gerifalte se quedara fuera de las eliminatorias. Los diagramas de caja de abajo muestran el número de equipos de cada bombo que, tras las 5 millones de simulaciones, clasifican en el top 8 y el top 24:


Como se puede apreciar, el formato es abrumadoramente garantista para los equipos de los bombos 1 y 2. En el 80% de las simulaciones, entre 3 y 5 equipos del bombo 1 acabaron en el top8, mientras que el 86% no incluyó ningún equipo del bombo 4. Pero lo más sangrante es que el 89% de las veces encontramos 8 o 9 equipos del bombo 1 en el top 24 (esto ocurre el 62% de las veces con el bombo 2). Lo que pasó el curso pasado casa bastante bien con estos números, con 14 de los 16 equipos de los 2 primeros bombos clasificando en el top 24. Habría que comparar estos resultados con lo ocurrido con el formato anterior, pero estoy cansado y tengo una familia que atender, así que esta vez dejaré que opere mi sesgo de confirmación.
Sí, te puedes clasificar con 6 puntos
Los casos muy extremos son mis favoritos, y es algo que sólo puedes conseguir si generas un número suficientemente alto de simulaciones. Vamos a ilustrar algunas de las más locas:
Fuera del top 8 con 19 puntos
Ocurrió en 3 de las 5 millones de simulaciones. Aquí mostramos una de ellas, en la que se produjo un empate a 19 entre 6 equipos del 4º al 9º. Dado que sólo predecimos victorias, empates o derrotas, el orden en caso de empate a puntos es anecdótico. Por ello, hemos generado la columna Rk, que muestra el orden real. En este caso, tendríamos un empate por el cuarto puesto de 6 equipos, uno de los cuales quedaría fuera del top 8:

Y aquí los resultados correspondientes:

Clasificado con 6 puntos
33 veces de las 5M. En el ejemplo de abajo se produjo un quíntuple empate del puesto 24 al 28 (uno de ellos entraría en los knockouts). Lo más loco de todo es que, si se diera el goal average, podrías incluso meterte sin ganar:


Eliminado con 12 puntos
14 veces de las 5M. Al carrer.

Top 8 con 12 puntos
510 veces de las 5M. Si se te aparece la virgen, podrías entrar con 2 victorias.


Colista con 8 puntos
1 vez entre 5 millones:


Primero con 14 puntos
1 vez entre 5 millones:


14 equipos empatan a puntos
8 veces entre 5 millones. En el ejemplo de abajo, se produce un empate en el puesto 12 de 14 equipos. Uno de ellos se va a su casa.

